© Banoffeesoft 2012-2019

More about EditReader

EditReader takes timeline information (from Avid Media Composer, Abode Premiere, Apple Final Cut Pro and more), interprets it, and shares it on a central server so that anybody in your network can see it, annotate it, run reports on it, export media from it, and lots more. No two productions are the same, so EditReader is heavily customisable and can be adapted to fit your existing workflow. New features to integrate imports and exports to other software are being added frequently.

Animatics

EditReader can be set to use any rational naming convention so it knows the difference between the next panel and the next shot, and shows you the timing accordingly. This information can then be exported in a variety of formats- paper and PDF storyboard prints (including your own custom designs), Excel lists, or transfer formats such as XML, CSV or JSON that can then be imported into other software if needed.

Studio floor

On the studio floor, animators and the production team can instantly call up information about their next shot, or any shot. They can watch their shot in context with one click. Relevant directors’ or clients’ notes, script information, reference files, and anything else you want, is all immediately visible. EditReader can export frame-accurate trimmed audio and video clips from your animatic, with optional handles, so animators know they are animating to the correct lengths. For live-action interaction, background plates can also be trimmed to match, and automatically lined up in your animation software ready to work with. EditReader can also deliver information and frames to your VFX team, either in-house or external, in a variety of ways. If required, any internal edits or trims on your timeline can be conformed onto the image sequences that VFX receive, leading to a fluid and frame-accurate process where no time is wasted on unused frames.

Production

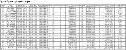
Your production team can use EditReader to track what’s been done, and what notes have been made. A wide variety of reports can be generated, helping you to track your progress and your animation statistics and so on. This can be cross-reference with your shot database to create complex reports covering animator statistics, weekly trends and more.

Edit

EditReader has a variety of tools for analysing timelines and reporting changes in timelines, for those editors who don’t have time to write down every change they just made! The fact EditReader makes animatics and work-in-progress edits available studio wide also frees up your editors’ time which can be spent on other things.

Tools

EditReader also contains a bunch of handy independent little tools that an animation team can find useful, including: A video file converter which supports a wide range of formats and options An advanced timecode calculator which can do all sorts of maths with timecodes A BPM counter which can tell you your frames-per-beat

EditReader

Animation timeline & production software from Banoffeesoft